All BASICSTANDARDADVANCED

Question 169

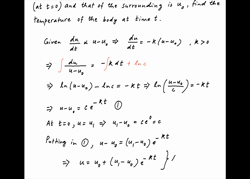
Radium disintegrates at a rate proportional to the amount present. If the half life of radium is 1600 years, find the percentage remaining after 100 years.

My Self Assessment

  CLEAR