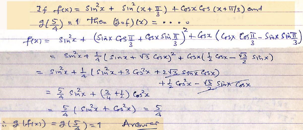
If and then (gof)(x) is equal to
My Self Assessment
a)
The domain of the function is
If then the domain of f(x) is
If f is an even function defined on (−5, 5) then the four real values of x satisfying the equation are
Let a, b, c be real numbers. Then the following system of equations in x, y, z
+ − = 1
− + = 1
− + + = 1 has
a) No solution
b) Unique solution
c) Infinitely many solutions
d) Finitely many solutions
Let A and B be square matrices of equal degree, then which one is correct amongst the following
a) A + B = B + A
b) A + B = A – B
c) A – B = B – A
d) AB = BA
The parameter on which the value of the determinant Δ = does not depend upon is
a) a
b) p
c) d
d) x
If P = , A = and Q = PAPT
then PT (Q2005) P is equal to
b)
c)
d)
For what value of m does the system of equations 3x + my = m, 2x − 5y = 20 have a solution satisfying the condition x > 0, y > 0.
a) m (−∞, ∞)
b) m (−∞, −15) ∪ (30, ∞)
Show that the system of equations 3x – y + 4z = 3 x + 2y − 3z = −2 6x + 5y + λz = −3 has at least one solution for any real number λ ≠ −5. Find the set of solutions if λ = −5
If α is a repeated root of a quadratic equation f(x) = 0 and A(x), B(x), C(x) be polynomials of degree 3, 4, 5 respectively, Then show that
is divisible by f(x) where prime denotes the derivatives.
Show that =
For all A, B, C, P, Q, R show that = 0
Prove that for all values of θ = 0
Let a, b, c be real numbers with a2 + b2 + c2 = 1. Show that the equation represents a straight line = 0
If M is a 3 x 3 matrix where det (M) = 1 and MMT = I, then prove that det (M – I) = 0.
A = , B = , U = , V =
If AX = U has infinitely many solutions, prove that BX = V has no unique solution. Also prove that if afd ≠ 0 then BX = V has no solution. X is a vector.
If then the two triangles with vertices (x1, y1), (x2, y2), (x3, y3), and (a1, b1), (a2, b2), (a3, b3) must be congruent.
a) True
b) False
Let A = AU1 = , AU2 = and AU3 =
a) 3
b) −3
d) 2
Let A =
AU1 = , AU2 = and AU3 =
a) −1
b) 0
c) 1
d) 3
If U1, U2, U3 are column matrices satisfying AU1 = , AU2 = and AU3 =
and U is a 3 x 3 matrix whose columns are U1, U2, U3 then the value of [ 3 2 0 ] U is
Multiple choices
If the first and term of an Arithmetic Progression, a Geometric Progression and a Harmonic Progression are equal and their nth term are a, b, c respectively then
The value of . Given that a, x, y, z, b are in Arithmetic Progression while the value of . If a, x, y, z, b are in Harmonic Progression then find a and b.
The interior angles of a polygon are in Arithmetic Progression. The smallest angle is 120° and the common difference is 5. Find the number of sides of the polygon.