Find the coefficient of x4 in the expansion of
My Self Assessment
a) – 66
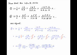
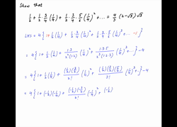
Show that the infinite series 1) 1 2) 1 are equal
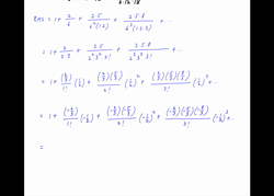
Find the coefficient of x6 in the expansion of
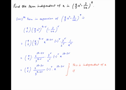
Find the term independent of x in
Prove that
Prove that if n is greater than 3
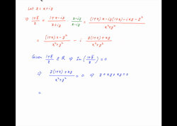
If where F is the fractional part of N, prove that NF =
Find (1)the arithmetic series (2) the harmonic series of n terms of which a and b are the first and last terms and hence show that the product of the rth term of the first series and (n – r + 1)th term of the second series is ab.
The 14th term from the end in the expansion of is
a)
b)
c)
d) None of these
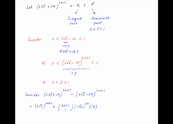
If then
c) or
d) or
The minimum number of terms from the beginning of the series so that the sum may exceed 1568 is
a) 25
b) 27
c) 29
d) 28
If A is a square matrix then find the nature of the following matrices:
If A is a square matrix then find the nature of the following matrice:
If A is a skew symmetric matrix then the matrix M’AM is
a) Symmetric
b) Skew symmetric
c) Orthogonal
d) None of the above
Find the set of points P (x, y) in the complex plane such that
For the function y = sign x, i) prove that |x| = x sign x ii) x = |x| sign x iii) sign (sign x) = sign x Define
Prove that product of two even functions is an even function.
Prove that product of two odd functions is an even function
Prove that product of an even and an odd function is an odd function.
Rewrite the following function as the sum of an even and odd function
Using the matrix method solve the system of equations
Evaluate
a) + c
b) + c
c) + c
d) + c
Let I = and J = then which of the following is true?
a) I > and J < 2
b) I > and J > 2
c) I < and J < 2
d) I < and J > 2