Find the value of k such that the points A (3, 5), B (k, 3) and C (1, 1) are collinear.
My Self Assessment
a) k = 2
Show that
where a, b, c are in arithmetic progression.
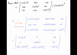
Prove that
where p is a scalar.
Prove that when x, y, z are different and
is divisible by λ3 and find the other factors.
Solve the equation
Find the value of the expression
1.(2−ω)(2−+ 2.(3−ω)(3−+ … (n−1).(n−ω)(n−
where ω is an imaginary cube root of unity.
a) n(n−1)(+3n+4)
b) n(n+1)(+3n+4)
c) n(n−1)(+n+1)
d) n(n+1)(+n+1)
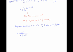
Find the coefficient of x16 in the expansion of (x2 – 2x)10.
a) 2980
b) 3160
c) 3360
d) 3580
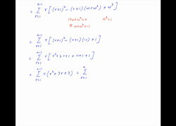
Find the coefficient of xr in the expansion of
a)
b)
c)
d)
Unless is a positive integer there will be no term containing xr (common to all options)
Find the coefficient of x18 in (ax4 – bx)9
a) 84a3b3
b) 84a6b3
c) 84a3b6
d) 84a6b6
Find the middle term of
a) 216
b) 252
c) 278
d) 312
Find the two middle terms of