All BASICSTANDARDADVANCED

Question 241

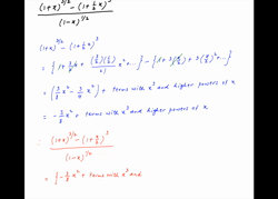
If x is so small that  and higher powers of x may be neglected, then   may be approximated as


a)

b)

c)

d)

AIEEE 2004

Your Answer

ABCD   CLEAR