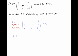
Let A be a square matrix whose entries are integers. Which of the following is true?
a) If detA = ± 1 then
need not exist
b) If detA = ± 1 then
exists but all its entries are not necessarily integers.
c) If detA ≠ ± 1 then
exists and its entries are non-integers.
d) If detA = ± 1 then
exists and its entries are integers