All BASICSTANDARDADVANCED

Question 121

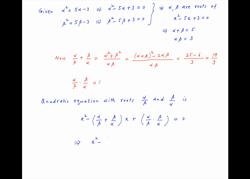
If two numbers have arithmetic mean 9 and geometric mean 4, then the numbers are roots of the quadratic equation


a)

b)

c)

d)

AIEEE 2004

Your Answer

ABCD   CLEAR